卡片创作法:像纳博科夫一样创作

img

-- Note170630001 --

开智部落提倡卡片法,之前更多鼓励大家读经典、写卡片,回到知识源头,收集一手证据。可能有小伙伴吭哧吭哧写了不少卡片,却不知有什么用,最简单的,你可以卡片拼接文章呀。本期「卡片创作法」,素封的这篇文章,不仅有原则正确,还有细节正确,值得反复阅读并参照练习。

引子

日本著名诗人、小说家高桥源一郎(TakahashiGenyitiro)曾把纳博科夫和博尔赫斯、卡尔维诺、温贝尔特·艾科等作家并列,称他们「无论在技法上,还是在理论上,他们分明都是在文学的最前沿进行创作的作家。」

哪个作品最能体现纳博科夫的最前沿创作?

答案是《微暗的火》。

美国著名作家玛丽·麦卡锡(MaCarthyMaryTherese)认为《微暗的火》是「一个玩偶匣,一块瑰丽的宝石,一个上弦的玩具,一个象棋难题,一场地狱般的布局,一个评论者的陷阱,一场猫鼠游戏,一部由你自行组织的小说。」并称赞它是20世纪最伟大的艺术作品之一。

1962 年,纳博科夫出版《微暗的火》,这部小说的形式独特,由前言、长诗、注释和索引组成,作品的主体为四个篇章长诗,共 999 行,篇幅却只占全书的十分之一,剩下的都是为长诗所做的注释。

如此文本形式在当时不被理解,读者如果要读懂这本小说,必须经常在前言、长诗和注释之间跳转,或在书上贴满标签,或在书上画画写写。但如今,这种文本可以被轻易理解,叫超文本。《微暗的火》在现在看来,就是一首布满超链接的长诗,每个词句有超链接,超链接之外还有超链接……

img

以上便是《微暗的火》结构图。

受限于创作方式,同时代的作家必定无法创作出如此的小说,但纳博科夫毕竟是纳博科夫,他用科学思维来看待文学创作,所以,创作的方式必定与众不同——卡片创作法。

通过解构《微暗的火》的链接,你就可以轻易理解,这是他用成百上千张悬浮在空中的卡片结网而成的艺术创作。

史蒂芬·平克(Steven Pinker)在《写作风格的意识》中写道:「写作是将网状的思想,通过树状的句法,组织为线状展开的文字。」大师与大师相遇,得出的结论惊人一致。

纳博科夫如何创作

纳博科夫认为,最理想的作家是讲故事的人、教育家和魔法师。「一个大作家集三者于一身,但魔法师是其中最重要的因素,他之所以成为大作家,得力于此。」

纳博科夫擅长卡片魔法。

我现在发现索引卡片真的是进行写作的绝佳纸张,我并不从开头写起,一章接一章地写到结尾。我只是对画面上的空白进行填充,完成我脑海中相当清晰的拼图玩具,这儿取出一块,那儿取出一块,拼出一角天空,再拼出山水景物,再拼出 —— 我不知道,也许是喝得醉醺醺的猎手。

1938 年,纳博科夫开始使用索引卡创作,这种与以往不同的卡片写作给他带来了全新的创作体验,让他在此后的 39 年创作生涯中持续使用,成为他一生最爱的创作利器。

为何纳博科夫如此钟情卡片创作?

卡片创作不单是指在卡片上书写灵感,还包括在已写作好的卡片之间寻找「交互」的可能性,这种卡片的创作与交互,正是纳博科夫的卡片魔法。

img

我如何实践卡片创作法

像纳博科夫一样创作,该如何实践呢?先说说我与卡片创作的四个小故事吧。

2015 年 1 月,我刚加入开智社群,[阳志平老师在微信群直播的形式演示快速写作,我全场目睹勾勒大纲、分组块、填占位符、查找证据和润色文章的过程,一篇文章从无到有,从从草稿变成可发布在财新杂志的文章[《新年好,好新年》。那时正在[练习千字文写作的我愣住了,感觉之前练习写作的方法是好像有问题。

2015 年 3 月,看到阳志平老师写的[《纳博科夫的卡片》,才发现阳老师采用的是纳博科夫卡片写作法,此后将这篇文章反复读了几遍,后来《巴黎评论》采访纳博科夫的章节找来读了两三遍,萌生了践行卡片写作的想法。

2015 年 6 月,参加阳老师的一期写作班,每周一节,每节课两到三个小时,一共十节,同时阅读指定写作书籍 7 本。在高密度学习的 60 多天,深度参与课程笔记整理,大量阅读各种写作著作,多次看到阳老师推荐及使用卡片创作,开始逐渐了解卡片创作的符合人类认知规律,采用卡片创作可提高创作效率。

2016 年 3 月,认知写作学二期开课,课程采用全卡片式学习,视频、知识、术语、作业等全部采用卡片输出,已加入开智的我有参与一期课程经验,于是幸运成为二期课程的卡片撰写人。当时课程进度非常紧张,每周日录制完课程,我就必须在周一拿到一刀未剪的课程视频来制作视频,每个视频平均三个小时,一边看,一边用 A4 纸记录课程知识,写成知识点大纲,后来我将这些手写的知识点大纲汇成了 [GitBook,每周生成卡片约 100 张,7 周课程,到课程结束就生成了 700+ 张卡片,就在那个时候,我开始在工作和学习中践行卡片创作法。

践行卡片创作法到至今( 2016 年 11 月 15 日),已经有 240 多天,发现卡片写作至少有四个好处。

  • 习得快速写作:构思先行,快速成文;
  • 减少写作畏惧:力注卡片,降低难度;
  • 锻炼远距联想:卡片交互,新思迸发;
  • 养成组块思维:分割篇章,理顺逻辑;

所以,如果你也想像纳博科夫一样创作,或者这个四处也打动了你,不妨试试卡片写作法。

卡片准备

在实践卡片创作之前,你需要准备好卡片创作工具:

纳博科夫的卡片创作工具:铅笔和卡片。

纳博科夫使用削好的、不太硬的铅笔写作,笔头带有橡皮,他喜欢大幅修改文字,橡皮总是比铅笔消耗得更快,他钟爱的品牌是 Eberhard Faber Blackwing 602。

建议:优先使用你最趁手的笔,例如我就习惯使用钢笔,经常的情况是:想法来了,随便拿起一枝笔就开始写。毕竟相对于洁净与习惯,你的创作的灵感更重要。

img

纳博科夫使用卡片是带横线的布里斯托索引卡片(bristol index card)。布里斯托是一种介于纸和纸板之间的一种厚纸,纸面细致平滑,坚挺耐磨,因最初产于英国的 Bristol 城而得名。

建议:使用淘宝购买的 Index Card 索引卡,尺寸约12.5厘米x7.6厘米,卡片的质量可能不及布里斯托索引卡片,但大小一致,硬度相仿,买上一盒(白色 210 张),至少使用三个月。

如果手头暂时没有索引卡也不要紧,可以使用普通 A4 纸裁成扑克般大小,或直接使用便签纸,总的原则是:不能大到让你产生写作畏惧,不能小到让你写不下 50 字。

img

环境建议:在使用卡片创作期间,你需要准备一张没有电子设备的工作台,暂时将电子设备放到你视线无法触及的地方,将手机调成静音,排除外界的干扰。如果可以,工作台上尽可能只有卡片和笔。

一 列出大纲

《巴黎评论》:您能说一下您的写作习惯吗?您按事先准备好的大纲写呢?您是从一章到另一章跳着写,还是按顺序从开头写到结尾?

纳博科夫:作品的构思先于作品本身。就像玩字谜游戏,我随意在空白处填写。我在卡片上写下这些段落,直到完成整部小说。

所以,卡片创作的第一步:尝试在一张卡片上写出文章的主题大纲。

注:在以下创作过程中我会将卡片分成两种类型,一种是大纲卡,大纲卡只有一张,另一种是扩展卡,扩展卡可以有无数张,用于提升你的远距联想能力。两种卡片的关系如下图:

img

在写大纲卡时,你可以思考以下这三个问题:

  • 为什么要写?
  • 读者是谁?
  • 你的预期结果是什么?

我写《像纳博科夫一样写作:卡片创作法》的思考点是:

  • 为什么要写?我想让读者学会使用卡片创作。
  • 读者是谁?对快速写作感兴趣的所有读者。
  • 我的预期结果:看完文章的同学可以按照步骤一步一步上手操作卡片创作法,体验创作的乐群。想要达成这个目标,我必须尽可能详细地描述我使用卡片创作的每一个步骤,尽可能让每个想上手的人都可以重复模仿。

想清楚这一点后,我会首先在 1)第一张卡片上快速勾勒出卡片创作四个步骤, 2)预想四个步骤至少会使用四张扩展卡片, 3)分别在四张卡片上写下四个步骤的小标题, 4)在这四张卡片分别重复思考以上的三个问题:为什么要写?读者是谁?我的预期是什么?

使用大纲卡创作尤其需要注意:使用卡片创作并不是在卡片上写文章。

大纲卡的使用原则是简洁清晰,你只能在上面写关键词句,这些关键词句可以涵盖这篇文章 80% 的内容。例如我在构思这篇文章时,卡片上只写了七个要点(后来合并成了四个),我的大纲卡文字几乎不会超过 100 字(文末可以查看我创作此文章使用的部分卡片)。

img

使用大纲卡时注意:你不能将大纲卡当作是零散的 A4 纸,而是需要将卡片当作你快速思考创作的容器,大脑思考创作的速度远比你手下写字的速度快,往往是你将想到的文字写下来后,大脑的运作就已经停止,这时的你头脑往往一片空白,所以你才需要卡片,飞快地将创作的痕迹记录,并拼接起来。

卡片创作就像是在你头脑中编制一张写作之网,它不负责舀起一字一句,它只负责将思维之线编制成交接的点,打捞你在你脑海轻盈游过创作之鱼,让其在卡片活蹦乱跳。

二 扩展要点

除了纳博科夫,许多创作者也喜欢使用索引卡进行创作。例如《回到未来》的编剧,他们在编剧的方式是:

先做一大堆的索引卡,构思故事的各个要点,形成电影的初始大纲,然后把卡片贴在墙上,研究 A 到 B 如何发展,以此推理出戏份,最后在具体构筑场景填补对白。这样一来,不少的桥段其实都是倒推的结果。

使用卡片,而不是使用大页面的纸张的最大好处是可以轻易变换前后顺序,这种顺序的变换极其容易产生远距联想能力。

如果一篇好文章是生猛跳动的海鲜,那么大纲卡就像是被强力压榨过被挂在市场出卖的干货,而扩展卡就是 [故事/逻辑/情感/鲜活证据 等堆积而成湿货。

想想,吃海鲜,你是喜欢干货还是湿货?

使用扩展卡时,你需要特别注意使用湿货,这样你的文章才会更有趣易读,例如此文中纳博科夫的问答、我的创作故事、《回到未来》的编剧故事……这些故事在我勾勒大纲卡时是没有的,是后期为我特意加入的。

如果没有故事串联,文章就是卡片的罗列,变成纯粹的清单文章,枯燥而无趣。

当写完所有扩展卡后,你需要将其拼接起来。纯拼接不难,拼接得好看就需要能力,这种拼接的能力就是远距联想能力。

img

远距联想能力由意象、联想、记忆等能力组成,它将认知空间与写作环境打通,它是创作能力的综合体现,拼接卡片能力越强,远距联想能力就越强。

img

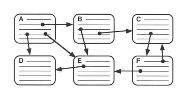
图中 A 卡片与 C 、D 、E 、F 卡片的链接就是远距联想(自己脑补 A-C 、A-F 的连线)。

正如阳志平老师所说:「认知空间的局限主要在于它是有限理性,但写作的创作性常在于远距联想能力,好作家创作前所未有的阅读体验。所以大脑的模式处理能力与创意需要的远距联想能力,思维流畅性,构成了写作的基本矛盾。好作家理解写作是在操作自己大脑的认知空间,并理解它的局限。大脑里面的认知空间与外在写作环境的物理空间的交互,构成了好作家迷人的创作环境。

一个绝佳远距联想的例子:《哥德堡变奏曲》 BWV 988 原本是严肃、安静、庄重的音乐(卡片 A),但如果运用得当,它可以与血腥暴力的情节(卡片 E),例如在《沉默的羔羊》越狱情景中,这首交响乐就贯穿汉尼拔的猎杀狱警的过程中,行云流水,为观众呈现一种[新鲜的暴力美学。

三 编辑成文

纳博科夫曾经详细分享过他的创作体验:

在小说创作进展的最初阶段,我极渴望储存些草屑绒毛,吃些小卵石。没有人会发现一只鸟会多清楚地预见(假如它有预见的话)未来的巢和巢里的蛋。等我事后想起是什么促使我记下事物的正确名字或事物的点滴时,我所谓灵感已经开始工作了,它默不作声地指向这儿指向那儿,让我积累已知的材料为未知的结构服务。

等突然意识到「这正是我所写的」之后,小说自身便开始成长了;这一过程是在脑中进行的,而不是在纸上。这个阶段在特定的时刻自然回来到,所以我不用对每个准确的词语有过强的自觉意识。我感到故事在脑中不慌不忙地进展着铺陈着,我知道细节己在那儿了,事实上如果近看就能看个真切;假如我把机器停下来,打开它的内部,也能看个真切。

但是,我喜欢等,等到灵感为我完成这项任务。我内心会在某个时刻告诉我整个结构完成了。我现在所要做的只是用铅笔或钢笔一记下。既然脑中依稀出现的整个结构已跟画差不多,既然用不着逐渐地从左到右来规划它的适当模样,我便可在写下它的时候把闪光灯指向这个画面的任何部分。我着手写小说不是从头往下写的,……不是依序一页一页往下写的。我是这儿一点那儿一点地下手,直到纸上的空处都填完。

img

当卡片被写下,它就是种子,当卡片被耕耘,它就开始生长。

写完扩展卡片,并非意味着创作的结束。远距联想完成 A > B > C > D > E 卡片的链接,只是简单的一次创作,远距联想完成 A > E / B > D / C > A ……的链接,那才是卡片创作的乐趣。

纳博科夫说:「一个有创意的作家必须仔细研究竞争对手的作品,包括至高无上的上帝的作品(大自然)。他不仅生来必须具备重新组合特定世界的能力,而且生来必须具备再创造这一世界的能力。」

当你在正以为在干体力活将扩展卡形成文字时,你的大脑会像纳博科夫说的那样,创造力会悄悄迸发,故事/逻辑/情感/鲜活证据 会慢慢铺陈,慢慢会体验到有一种莫名的想法在脑中流淌,神经与神经之间的沟壑会渐渐连通,会突然想到白雪与沙漠之白,杜鹃与热火之红,天空与绸布之蓝……

实践经验证明,大部分的神来之笔大多出自将卡片编辑成文的过程,因为其中蕴含着创造大量远距联想的机会。

记者问艾柯,你的写作进度是否有条不紊?

艾柯说,完全不是,一个想法迅即唤起另一个。随便一本书令我想要读另一本书。读着一篇完全没用的文献,突然有了故事接下来怎么写的的正确灵感,或知道怎么在一系列大组合框里在插入一个小框框,这样的情况时有发生。

你看,艾柯所说的小框框,不正是卡片么?那么,如何将艾柯的写作技巧践行?

经验:编辑成文的过程是你最容易进入心流的时刻,如果你在编辑中忽然想起要查找例子、补充参考文献等,不妨也马上写下关键词扩展卡片,然后用「。。。」或「……」等符号占住文章空间,大脑会误以为你已经查找过了,然后闷着一口真气不散,把文章写完,再会过头来查找并补充资料。

四 检查修改

修改是写作的核心。

采用卡片写作法,你必须习惯快写慢改。写卡片很快,编辑成文也很快,但检查修改就必须慢。

我写此文,快速勾勒大概卡片大概只用了 3 分钟,写扩展卡大概用了 5 分钟,编辑成文,补充湿货,检查修改却用了 5 天时间。

以下是我的部分修改检查清单:

  1. 大胆裁剪。一篇文章不好读,往往是它的层级和组块太多,尝试削减层级,合并同类组块,将其组合成你想要的样子。
  2. 增加情感。文章大忌,只有观点,没有情感;只有纲要,没有故事。每个文章组块最好有一个故事,这个是故事可以是例子、诗句、论据……用补充这个组块的观点,吸引读者继续读下去。组块的结构:故事引子+清单+结论。
  3. 注意文气。文气简单的来讲就是读者的注意力。需要检查这篇文章是否可以让读者心无旁骛一口气阅读完毕,中间事发没有任何令人分神的句子、图片、列表、引用等,所有与文章主题无关的东西一律砍掉,只留下最关键的语句。
  4. 忠于自己。在任何平台中写作都要忠于自己,有自己的人格,保持一致性,站在自己的角度思考问题,自己没有实践及查证过的证据切莫使用。

小结

一旦你拧开了大脑水龙头,灵感飞溅而出,千万不要试图关上,也千万别想着下次还可以拧开,你需要做的,就是拿起卡片承载,接下多少是多少,那将是大脑最好的馈赠。▉

附图

写这篇文章的部分卡片:

img

-- End --

作者:陈素封

参考资料:

  • 纳博科夫及其创作研究
  • 巴黎评论·作家访谈
  • 极客纳博科夫 – OFFLINE
  • 读库1602 · 回来未来制作记
  • 王烁:写作之难
  • 再见,2014(上) - 阳志平的网志
  • 工作谈002:好思想,坏思想之一
  • 久保与二弦琴 (豆瓣)
  • 1.3 「巴赫」哥德堡变奏曲(上):变态杀手和古怪钢琴师
  • Nabokov’s Pale Fire as hypertext
  • Chapter 2: Hypertext Theory

你们还希望有下一期「卡片创作法」么?想看就在文末给我点👍吧~

results matching ""

    No results matching ""